Deriv Bot'ta D'Alembert stratejisini keşfetmek

Bu makale 17 Ocak 2024 tarihinde güncellendi
D'Alembert stratejisi, kaybedilen bir işlemin ardından stake'inizi artırmayı ve başarılı bir işlem sonrasında önceden belirlenmiş bir miktar kadar azaltmayı içerir.
D'Alembert stratejisi için Deriv Bot'ta kullanılan işlem parametreleri bunlardır.
Başlangıç stake'i: Bir ticarete girmek için ödediğiniz miktar. Bir ticarete girmek için koymayı istediğiniz stake miktarı. Bu örnekte, 1 USD kullanacağız.
Birim: Kaybedilen bir işlem durumunda eklenen birim sayısı veya kâr elde edilen bir işlem durumunda çıkarılan birim sayısı. Örneğin, birim 2 olarak ayarlanırsa, stake iki katına çıkar ya da azaltılır, bu da başlangıç stake'i olan 1 USD'nin 2 USD'ye değişmesi anlamına gelir.
Kar eşiği: Bot, toplam kârınız bu miktarı aşarsa, ticareti durduracaktır.
Zarar eşiği: Bot, toplam zararınız bu miktarı aşarsa, ticareti durduracaktır.
D'Alembert Stratejisi'ne bir örnek

- Başlangıç stake'i ile başlayın. Bu örnekte, 1 USD kullanacağız.
- Tercih ettiğiniz birimi ayarlayın. Bu örnekte, 2 birim veya 2 USD'dir.
- Eğer ilk işlem kâr getirirse, sonraki işlemin stake'i azalmaz, başlangıç stake'inde kalır. Strateji, başlangıç stake'i olan 1 USD ile en az ticaret yapar. A1'i görüntüleyin.
- Eğer ikinci işlem zarar getirirse, Deriv Bot bir sonraki işlem için stake'inizi 2 USD artıracaktır. Deriv Bot, her kaybedilen işlem sonrasında önceki tur stake'ine 2 USD eklemeye devam edecektir. A2'yi görüntüleyin.
- Eğer bir sonraki işlemler kâr getirirse, bir sonraki işlemin stake'i 2 ABD Doları azaltılacaktır. Bu, stake'in 3 USD'den 1 USD'ye düştüğü yerde gösterilebilir. A3'ü görüntüleyin.
Kar ve zarar eşikleri
Deriv Bot ile, tüccarlar potansiyel kârları güvence altına almak ve potansiyel zararları sınırlamak için kar ve zarar eşiklerini ayarlayabilir. Bu, ticaret botunun ya kâr ya da zarar eşiklerine ulaşıldığında otomatik olarak duracağı anlamına gelir. Bu, getirileri artırabilecek bir risk yönetimi biçimidir. Örneğin, bir tüccar kar eşiklerini 100 USD olarak belirlerse ve strateji, tüm işlemlerden 100 USD'nin üzerinde bir kâr elde ederse, bot çalışmayı durduracaktır.
Riskinizi hesaplamak
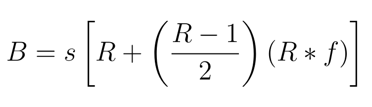
D'Alembert stratejisi, Martingale'dan daha az risklidir, ancak bu strateji ile fonlarınızın ne kadar süreyle dayanacağını belirlemeye devam edebilirsiniz. Basitçe bu formülü kullanın.
B = Zarar eşiği
s = başlangıç stake'i
R = tur sayısı
f = birim artışı

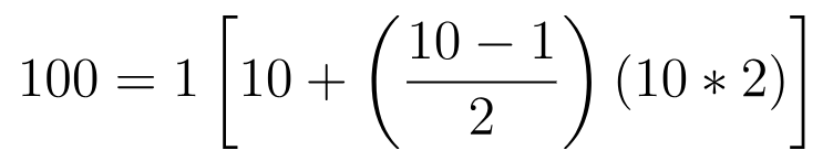
Örneğin, 100 USD'lik bir zarar eşiğiniz (B), 1 USD'lik bir başlangıç stake'i (s) ve 2 birim artışı (f) ile aşağıdaki gibi hesaplama yapılır:

Bu, 10 tur üst üste kaybedildiğinde, tüccarın 100 USD kaybedeceği anlamına gelir. Bu, 100 USD'lik zarar eşiğine ulaşır ve botu durdurur.
Özet
D'Alembert sistemi, kontrollü stake ilerlemesi ile daha dengeli bir ticaret sunar. Stake sınırları gibi dikkatli bir risk yönetimi ile Deriv Bot'ta etkili bir şekilde otomatikleştirilebilir. Ancak, yatırımcılar gerçek parayla ticaret yapmadan önce risk iştahlarını dikkatlice değerlendirmeli, stratejilerini bir demo hesapta test etmeli ve ticaret tarzlarıyla uyumlu hale getirmelidir. Bu, yaklaşımın optimize edilmesine ve potansiyel kazançlar ile zararlar arasında bir denge sağlamasına yardımcı olurken riski yönetmeye olanak tanır.
Yasal Uyarı:
Lütfen dikkat edin ki, göstermek amacıyla yuvarlanmış rakamlar kullanabiliyoruz, fakat belirli bir miktarda bir stake, başarılı işlemlerde kesin bir tutarı garanti etmez. Örneğin, 1 USD stake, başarılı işlemlerde mutlaka 1 USD kar ile eşit değildir.
Ticaret intrinsik olarak riskler içerir ve gerçek karlar, piyasa volatilitesi ve diğer öngörülemeyen değişkenler dahil çeşitli faktörlere bağlı olarak dalgalanabilir. Bu nedenle, herhangi bir ticaret aktivitesine katılmadan önce dikkatli olun ve kapsamlı araştırmalar yapın.
Bu blog makalede yer alan bilgiler yalnızca eğitim amaçlıdır ve finansal veya yatırım tavsiyesi olarak tasarlanmamıştır.
Deriv Bot, AB içinde ikamet eden müşteriler için mevcut değildir.
.webp)

